MatCalc による拡散計算の例    MatCalc 6.03 (rel 0.030)

  Simulation of the famous uphill-diffusion experiment of L. Darken of 1949.
                        
  Diffusion simulation in Fe-Mn-Si-C austenite at 1050℃
  864000 sec = 240 hour = 10 days

  試料Aと試料Dを接合する

  試料A     試料D
  0.49wt%C   0.58wt%C
  0.25wt%Mn     6.45wt%Mn
  3.80wt%Si     0.14wt%Si

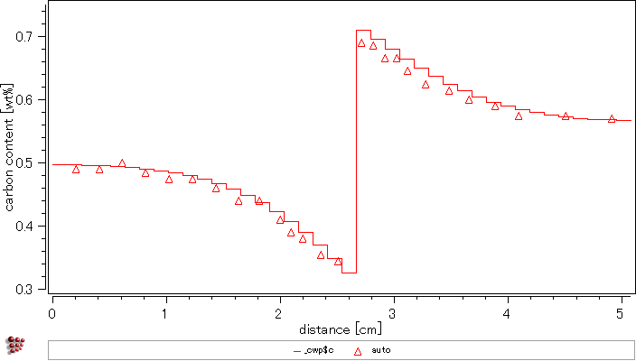
  炭素濃度を測定した結果(下図中の△印)

  
  

  上図は Mn と Si の初期濃度分布図
  下図は 864000 秒後の C の濃度分布図     文献と検算

  単純に炭素濃度値の高い方から低い方へ拡散するのではない。
  化学ポテンシャルの勾配に沿って、炭素が拡散する。

 戻る

Copyright(C) 2012-2019 Materials Design Technology Co., Ltd. All Rights Reserved.